Áreas de polígonos convexos

2.0 Área do círculo e suas partes
Atividades
Relações métricas nos polígonos regulares
A distância m do centro O até o ponto médio M de um lado do polígono
regular denomina-se apótema do polígono.
No caso do hexágono regular
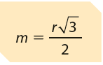
No caso do triângulo equilátero
Comentários
Postar um comentário